Từ 05/03 đến 21/03/2026, lực lượng CSGT Công an tỉnh Thanh Hoá đã ghi nhận và xử lý phạt nguội 138 trường hợp phương tiện vi phạm quy định an toàn giao thông đường bộ bằng thiết bị kỹ thuật.
Các vi phạm chủ yếu gồm không thắt dây an toàn và cầm tay sử dụng điện thoại hoặc thiết bị điện tử.

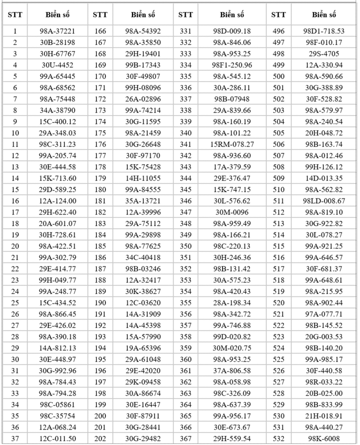
Danh sách biển số vi phạm

Mức phạt vi phạm giao thông mới nhất
Không thắt dây an toàn:
- Lái xe hoặc chở người không thắt dây: phạt 800.000 – 1.000.000 đồng
- Người ngồi trên xe không thắt dây: phạt 350.000 – 400.000 đồng
- Có thể bị trừ điểm GPLX
Dùng điện thoại/thiết bị khi lái xe:
- Phạt 800.000 – 1.000.000 đồng, trừ 4 điểm GPLX
- Nếu gây tai nạn: phạt 10 – 14 triệu đồng, trừ 10 điểm GPLX
Quy trình thông báo và xử lý vi phạm
Trong vòng 10 ngày kể từ ngày xảy ra vi phạm, cơ quan CSGT sẽ gửi thông báo đến chủ phương tiện hoặc cá nhân liên quan.
Sau 20 ngày kể từ ngày phát hành thông báo, nếu chưa được xử lý, thông tin vi phạm sẽ được công khai trên Trang thông tin điện tử của Cục CSGT.
Người vi phạm có 30 ngày để đến giải quyết vụ việc tại các địa điểm sau:
- Bộ phận một cửa Công an tỉnh Thanh Hóa (số 01 Đỗ Huy Cư, phường Hạc Thành, TP. Thanh Hóa)
- Trụ sở Đội CSGT số 3 tại Km 570+450, đường Hồ Chí Minh, xã Sao Vàng
- Hoặc Công an địa phương nơi cư trú.
Hướng dẫn tra cứu phạt nguội Thanh Hoá
Người dân có thể kiểm tra thông tin vi phạm theo một trong ba cách sau:
- Truy cập website chính thức của Cục CSGT: https://www.csgt.vn/tra-cuu-phuong-tien-vi-pham.html
- Tra cứu phạt nguội tại website Phạt Nguội theo đường link: https://phatnguoi.com.vn/ để kiểm tra phương tiện vi phạm nếu có.
- Cài đặt ứng dụng VNeTraffic, do Bộ Công an phát triển, để tra cứu thông tin vi phạm hoặc phản ánh trực tiếp với cơ quan chức năng.
Khuyến nghị cho người tham gia giao thông
Công an tỉnh Thanh Hóa khuyến nghị người tham gia giao thông luôn thắt dây an toàn đúng quy định và tuyệt đối không sử dụng điện thoại hoặc thiết bị điện tử khi đang lái xe để bảo đảm an toàn cho bản thân và người khác. Đồng thời, thường xuyên kiểm tra phạt nguội để tránh bị xử phạt theo Nghị định 168.
Chấp hành nghiêm chỉnh luật giao thông không chỉ giúp bảo vệ an toàn cho bản thân mà còn góp phần giảm thiểu tai nạn trên các tuyến quốc lộ.






