Để chủ động theo dõi tình trạng vi phạm giao thông của phương tiện và tránh những rắc rối không đáng có, bạn có thể lựa chọn cách tra cứu vi phạm giao thông online....
Bạn không cần phải đến trực tiếp cơ quan chức năng để kiểm tra vi phạm nữa. Chỉ với vài thao tác đơn giản trên phatnguoi.com.vn, bạn đã có thể tra cứu phạt nguội Đà...
Không cần mất thời gian đến trực tiếp cơ quan chức năng, giờ đây bạn hoàn toàn có thể tự tra cứu phạt nguội Đồng Nai ngay tại nhà chỉ với vài thao tác đơn...
Tra cứu phạt nguội Cần Thơ ngay – kiểm tra vi phạm giao thông chỉ trong vài giây, hạn chế rủi ro bị từ chối đăng kiểm hoặc phát sinh những chi phí không đáng...
Trong tuần từ ngày 13 đến 19/4, Phòng CSGT Công an tỉnh Bắc Ninh đã phát hiện và xử lý phạt nguội 610 trường hợp vi phạm tốc độ thông qua hệ thống thiết bị...
Tra cứu phạt nguội Hải Phòng ngay – kiểm tra vi phạm giao thông chỉ trong vài giây, hạn chế rủi ro bị từ chối đăng kiểm hoặc phát sinh những chi phí không đáng...
Tra cứu phạt nguội Hồ Chí Minh ngay – kiểm tra vi phạm giao thông chỉ trong vài giây, hạn chế rủi ro bị từ chối đăng kiểm hoặc phát sinh chi phí không đáng...
Trước tình trạng vi phạm ngày càng phổ biến, gây ùn tắc và mất an toàn giao thông, TP Hà Nội đã triển khai đợt cao điểm xử lý xe dừng đỗ sai trên toàn...
Phòng CSGT Công an tỉnh Bắc Ninh vừa thông báo danh sách 658 trường hợp phương tiện bị phạt nguội lỗi chạy quá tốc độ quy định từ ngày 6/4 – 12/4/2026. Thông qua phương...
Lực lượng chức năng TP.HCM vừa tiến hành xử phạt hai trường hợp vứt rác không đúng nơi quy định trên đường Nguyễn Văn Linh (xã Bình Chánh- TP.HCM), với mức phạt mỗi người 1,5...
Ngày 19/4, Cục CSGT cho biết, qua tuần tra trên cao tốc ngày 18/4, lực lượng chức năng phát hiện 582 phương tiện vi phạm, nhiều trường hợp bị xử lý phạt nguội. Trong số...
Từ 05/03 đến 21/03/2026, lực lượng CSGT Công an tỉnh Thanh Hoá đã ghi nhận và xử lý phạt nguội 138 trường hợp phương tiện vi phạm quy định an toàn giao thông đường bộ...
Phòng CSGT Công an tỉnh Hưng Yên cho biết trong tuần từ 06/04 đến 12/04/2026 đã ghi nhận 74 trường hợp vi phạm giao thông bị xử lý phạt nguội. Các lỗi chủ yếu gồm:...
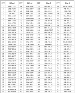
Từ ngày 6- 12/4, Phòng CSGT Công an tỉnh Bắc Ninh đã phát hiện và xử lý phạt nguội 658 trường hợp phương tiện vi phạm quy định về tốc độ trên địa bàn. Danh...
Hà Nội đang lên kế hoạch triển khai dự án nâng cấp, mở rộng Quốc lộ 1A đoạn từ khu vực hầm Kim Liên (Vành đai 1) đến nút giao cầu Giẽ, với tổng chiều...
Trong tuần từ 30/3 đến 5/4/2026, lực lượng CSGT Bắc Ninh đã phát hiện và xử lý phạt nguội 564 trường hợp vi phạm giao thông, chủ yếu là lỗi chạy quá tốc độ qua...
Từ 06/04 đến 11/04/2026, Phòng CSGT Công an tỉnh Lâm Đồng đã phát hiện và phạt nguội 164 trường hợp vi phạm an toàn giao thông do chạy quá tốc độ qua hệ thống camera...
Từ 28/3 đến 03/4/2026, Phòng CSGT Công an tỉnh Bắc Ninh phát hiện 215 trường hợp vi phạm giao thông bị phạt nguội qua hệ thống camera giám sát. Cụ thể gồm: 32 ô tô...
Hai trạm thu phí còn lại trên Quốc lộ 51, đoạn qua tỉnh Đồng Nai, dự kiến sẽ được tháo dỡ hoàn toàn trước ngày 15/4/2026 nhằm đảm bảo an toàn giao thông và xóa...
Trong 24 giờ (từ 7h30 ngày 6/4 đến 7h30 ngày 7/4/2026), hệ thống camera AI của Cục CSGT tại các tuyến đường trọng điểm ở Hà Nội đã ghi nhận và phạt nguội 67 trường...