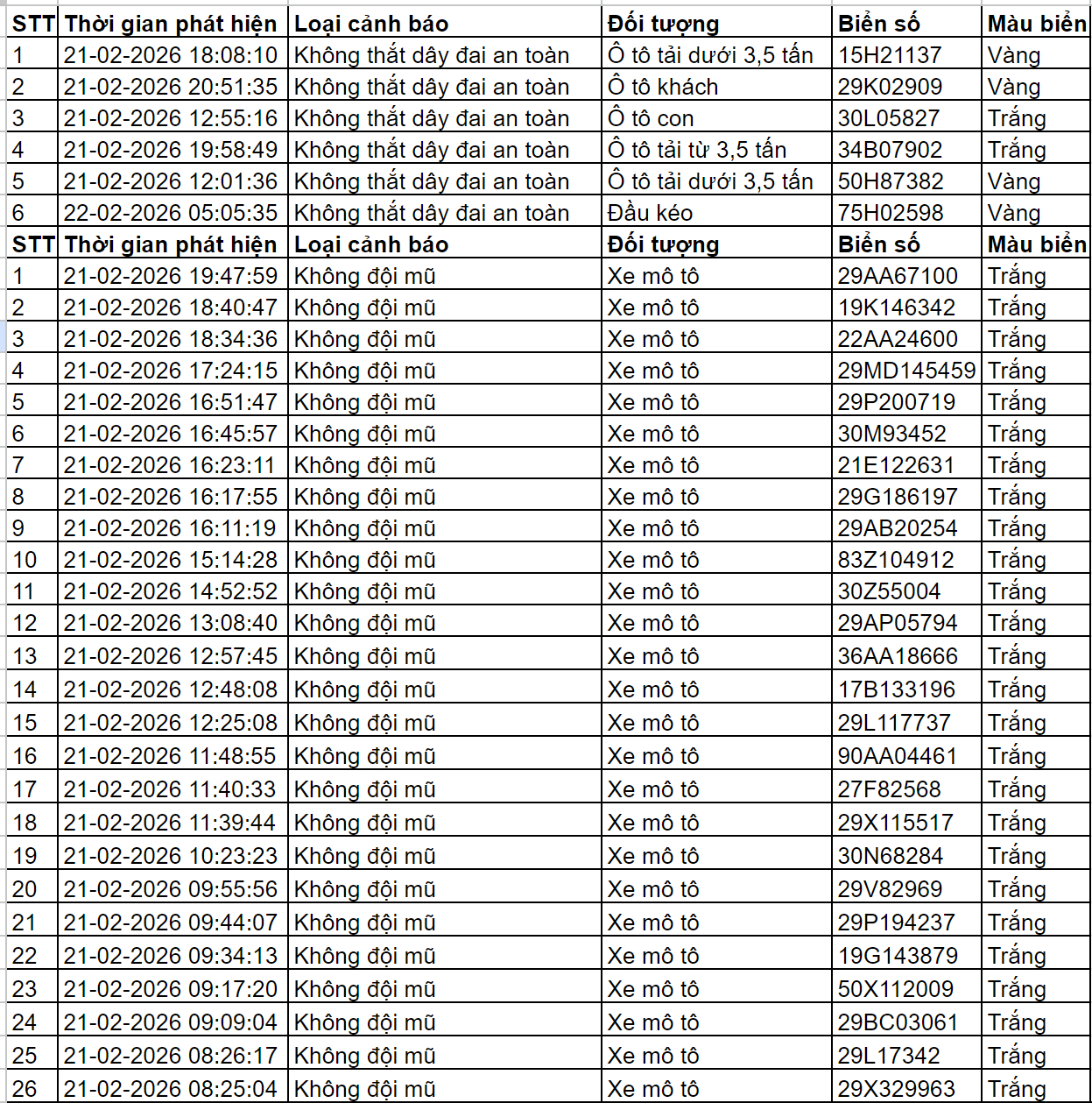
Từ 18/2 đến 28/2, Phòng CSGT Công an tỉnh Ninh Bình phát hiện nhiều vi phạm qua hệ thống camera AI và tiến hành phạt nguội.
Danh sách phạt nguội 434 ô tô vi phạm được phát hiện qua hệ thống camera

Hướng dẫn tra cứu phạt nguội
Người dân có thể kiểm tra thông tin vi phạm theo một trong ba cách sau:
- Truy cập website chính thức của Cục CSGT: https://www.csgt.vn/tra-cuu-phuong-tien-vi-pham.html
- Tra cứu phạt nguội trên website Phạt Nguội theo đường link: https://phatnguoi.com.vn/ để kiểm tra phương tiện vi phạm nếu có.
- Cài đặt ứng dụng VNeTraffic, do Bộ Công an phát triển, để tra cứu thông tin vi phạm hoặc phản ánh trực tiếp với cơ quan chức năng.
Khuyến nghị cho người tham gia giao thông
Luẹc lượng Cảnh sát Giao thông khuyến cáo người dân tuân thủ tốc độ, quan sát biển báo giao thông và thường xuyên kiểm tra phạt nguội để tránh bị xử phạt theo Nghị định 168.
Việc chấp hành nghiêm chỉnh luật giao thông không chỉ giúp bảo vệ an toàn cho bản thân mà còn góp phần giảm thiểu tai nạn trên các tuyến quốc lộ.






