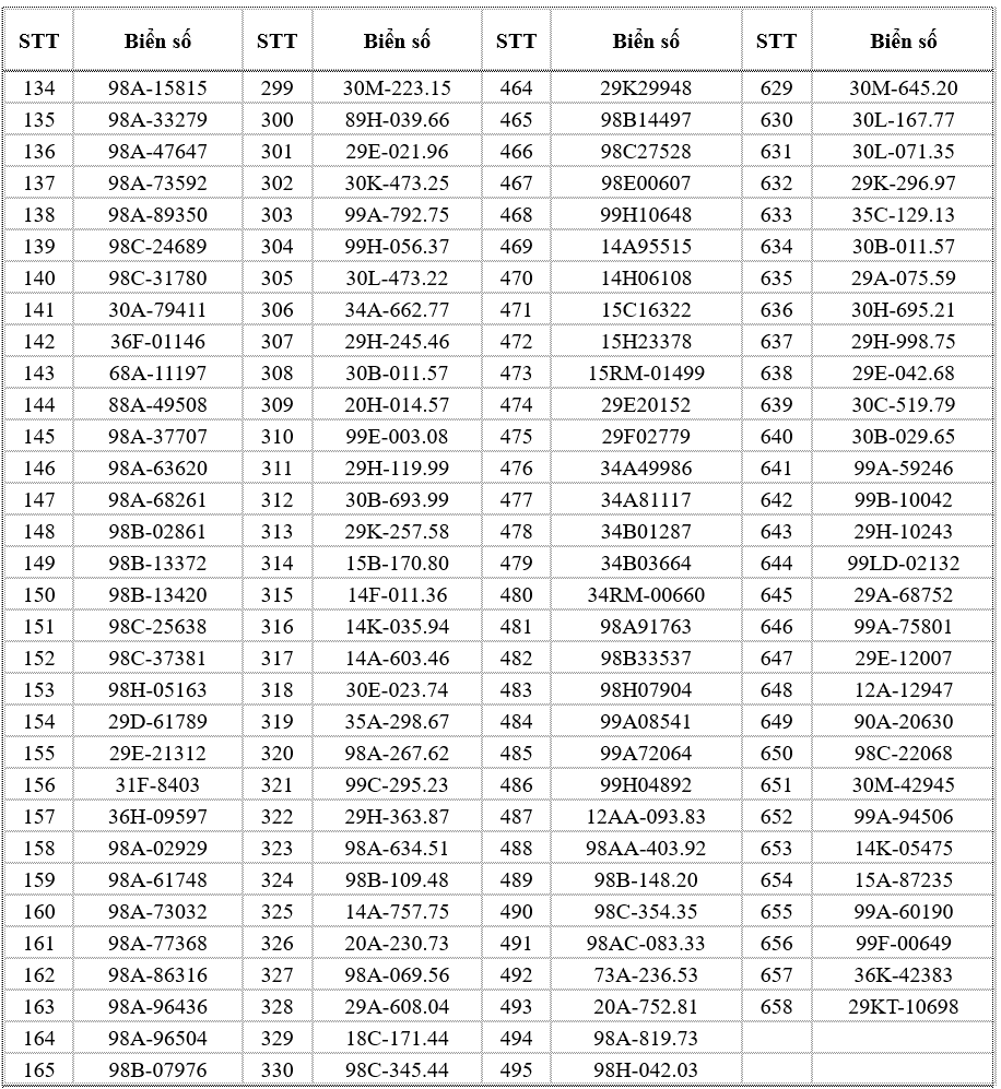
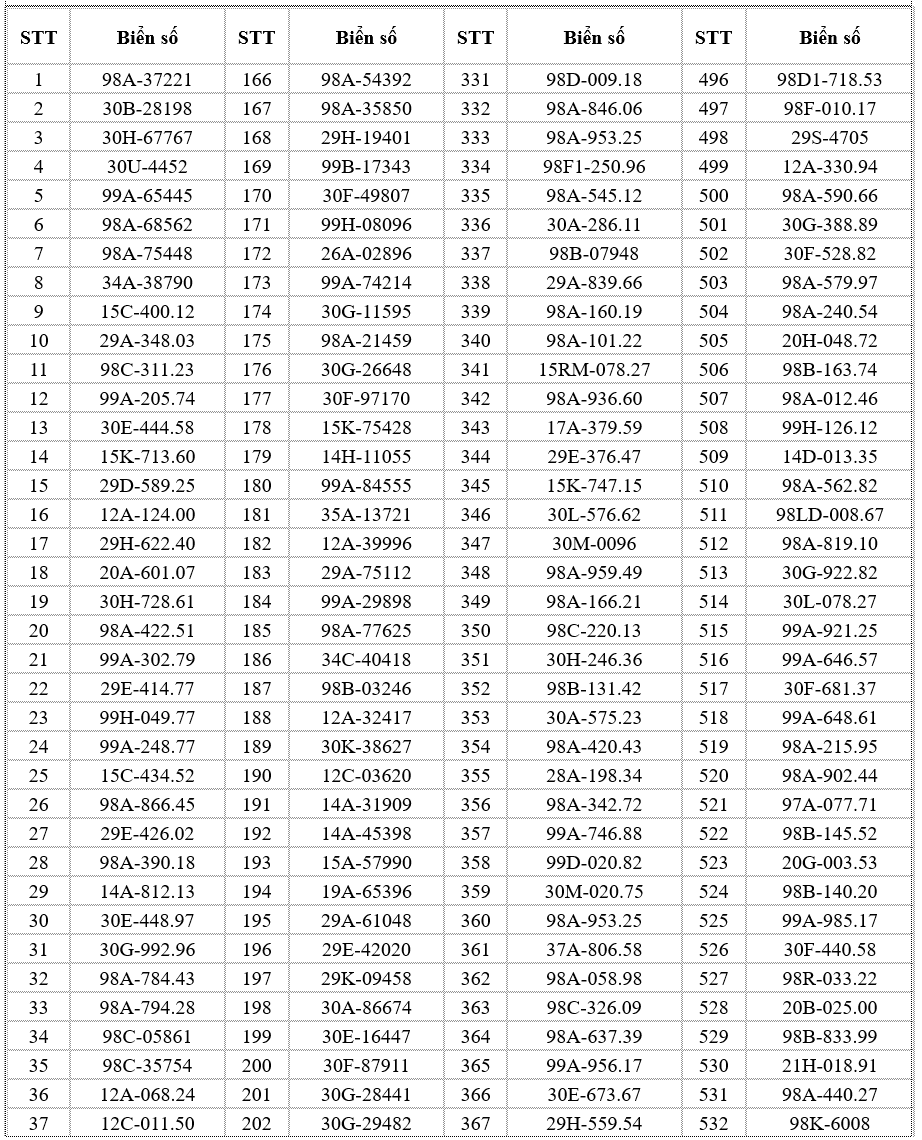
Từ ngày 6- 12/4, Phòng CSGT Công an tỉnh Bắc Ninh đã phát hiện và xử lý phạt nguội 658 trường hợp phương tiện vi phạm quy định về tốc độ trên địa bàn.

Danh sách phạt nguội chi tiết như sau

Mức phạt vi phạm giao thông mới nhất
Theo Nghị định 168/2024/NĐ-CP (có hiệu lực từ 1/1/2025), người đi mô tô, xe máy không chấp hành đèn tín hiệu giao thông bị phạt 4- 6 triệu đồng và trừ 4 điểm GPLX; nếu gây tai nạn, mức phạt tăng lên 10- 14 triệu đồng và trừ 10 điểm.
Với ô tô, chạy quá tốc độ sẽ bị phạt từ 800.000 đồng đến 14 triệu đồng tùy mức vượt, kèm trừ 2- 6 điểm GPLX. Nếu vượt tốc độ gây tai nạn, mức phạt từ 20- 22 triệu đồng và trừ 10 điểm GPLX.
Hướng dẫn tra cứu phạt nguội
Người dân có thể kiểm tra thông tin vi phạm theo một trong ba cách sau:
- Truy cập website chính thức của Cục CSGT:
https://www.csgt.vn/tra-cuu-phuong-tien-vi-pham.html - Tra cứu phạt nguội trên website Phạt Nguội theo đường link: https://phatnguoi.com.vn/ để kiểm tra phương tiện vi phạm nếu có.
- Cài đặt ứng dụng VNeTraffic, do Bộ Công an phát triển, để tra cứu thông tin vi phạm hoặc phản ánh trực tiếp với cơ quan chức năng.
Khuyến nghị cho người tham gia giao thông
Người dân nên tuân thủ tốc độ, quan sát biển báo giao thông và thường xuyên kiểm tra phạt nguội để tránh bị xử phạt theo Nghị định 168.
Việc chấp hành nghiêm chỉnh luật giao thông không chỉ giúp bảo vệ an toàn cho bản thân mà còn góp phần giảm thiểu tai nạn trên các tuyến quốc lộ.






