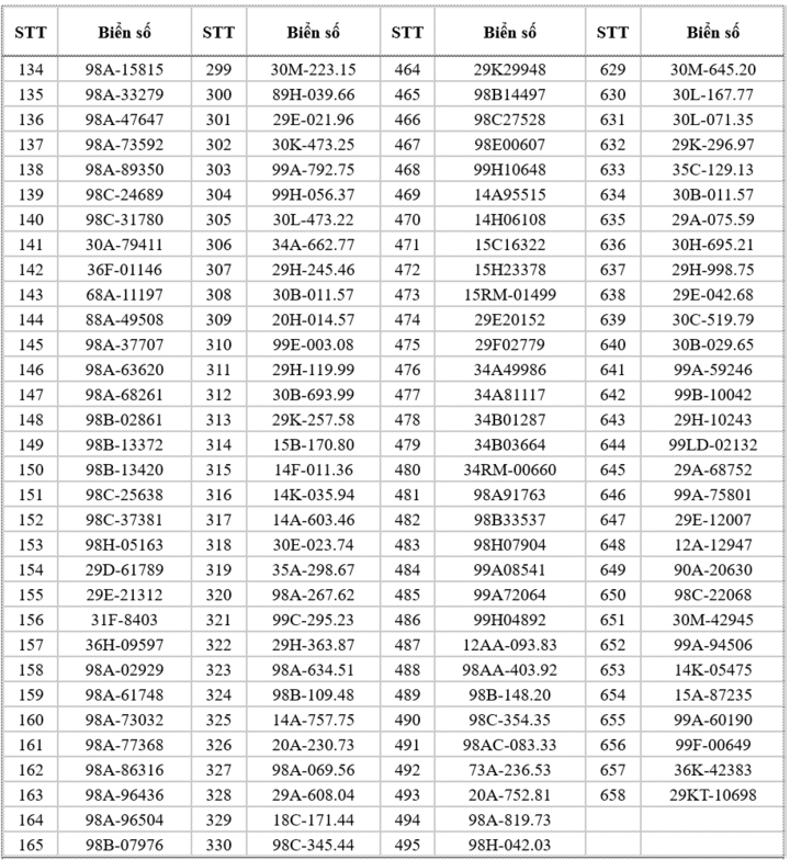
Phòng CSGT Công an tỉnh Bắc Ninh vừa thông báo danh sách 658 trường hợp phương tiện bị phạt nguội lỗi chạy quá tốc độ quy định từ ngày 6/4 – 12/4/2026.
Thông qua phương tiện thiết bị kỹ thuật nghiệp vụ, Phòng Cảnh sát giao thông Công an tỉnh Bắc Ninh đã phát hiện 658 trường hợp phương tiện vi phạm quy định về chạy quá tốc độ trên địa bàn.
Danh sách cụ thể như sau:




Mức phạt lỗi chạy xe quá tốc độ quy định mới nhất
Theo Nghị định 168/2024/NĐ-CP quy định mức phạt lỗi chạy quá tốc độ như sau:
Đối với ô tô:
- Quá tốc độ từ 5 – dưới 10 km/h: Phạt tiền từ 800.000 đồng đến 1 triệu đồng.
- Quá tốc độ từ 10 – 20 km/h: Phạt tiền từ 4 – 6 triệu đồng, trừ 2 điểm GPLX.
- Quá tốc độ từ 20 – 35 km/h: Phạt tiền từ 6 – 8 triệu đồng, trừ 4 điểm GPLX.
- Quá tốc độ trên 35 km/h: Phạt tiền từ 12 – 14 triệu đồng, trừ 6 điểm GPLX.
Đối với xe máy:
- Quá tốc độ từ 5 – dưới 10 km/h: Phạt tiền từ 400.000 đồng – 600.000 đồng.
- Quá tốc độ từ 10 – 20 km/h: Phạt tiền từ 800.000 đồng đến 1 triệu đồng.
- Quá tốc độ trên 20 km/h: Phạt tiền từ 6 – 8 triệu đồng, trừ 4 điểm GPLX.
Nguồn: Tổng hợp






