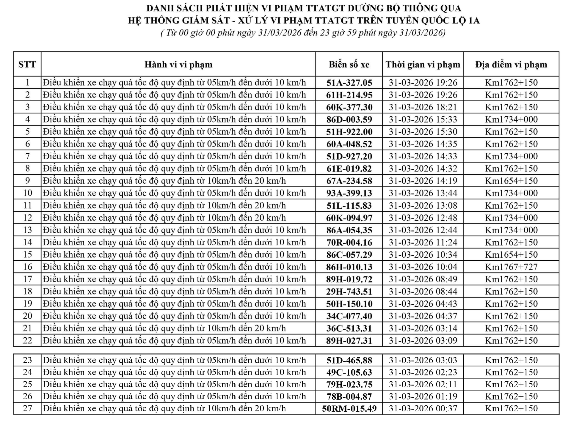
Trong tuần từ 30/3 – 5/4/2026, CSGT Lâm Đồng phát hiện 186 trường hợp vi phạm tốc độ qua camera giám sát và xử lý bằng hình thức phạt nguội.
Danh sách 186 phương tiện vi phạm tốc độ bị phạt nguội

Mức phạt vi phạm tốc độ theo Nghị định 168
Theo Nghị định 168/2021/NĐ-CP, mức xử phạt cho lỗi vượt quá tốc độ cho phép được chia theo mức độ vi phạm:
- Vượt tốc độ từ 5 – 10 km/h: phạt từ 300.000 – 500.000 đồng
- Vượt 10 – 20 km/h: phạt từ 800.000 – 1.000.000 đồng
- Vượt 20 – 35 km/h: phạt từ 3 – 5 triệu đồng, tước GPLX từ 1 – 3 tháng
- Vượt trên 35 km/h: phạt từ 6 – 8 triệu đồng, tước GPLX 2 – 4 tháng
Hướng dẫn tra cứu phạt nguội
Người dân có thể tra cứu các vi phạm phạt nguội của xe mình tại các kênh chính thức như:
- Cổng thông tin Cục CSGT: http://www.csgt.vn
- Cổng dịch vụ công quốc gia: https://dichvucong.gov.vn/
- Website Phạt Nguội: https://phatnguoi.com.vn/
- Ứng dụng App CSGT hoặc VNeID
Phòng CSGT Lâm Đồng khuyến cáo người dân chấp hành nghiêm quy định giao thông để đảm bảo an toàn và chủ động kiểm tra phương tiện, tra cứu vi phạm nhằm tránh phát sinh xử lý thêm.
Nguồn: Phụ nữ mới






